The unreasonable persistence of an old standard| simplicityissota.substack.com
Addressing the paradox of large marketing programs with limited experimentation| simplicityissota.substack.com
Experimenting on advertising spend is the beginning, not the end, of understanding marketing effectiveness| simplicityissota.substack.com
What happens when companies try to figure out what they're really getting from their digital marketing?| simplicityissota.substack.com
How we used randomization to quantify position bias at Thumbtack| simplicityissota.substack.com
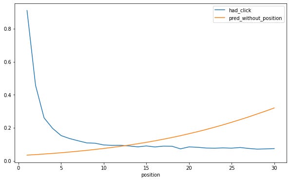
Explaining the ranking problem and showing pitfalls of estimating on observed data| simplicityissota.substack.com
The importance of recency might mean that more historical sample hurts out-of-time model performance| simplicityissota.substack.com
We should lower our expectations from balancing. Sampling might not improve class separation, and even if it does, it will typically come at a cost to calibration and log loss.| simplicityissota.substack.com
Pinning down a common yet elusive concept| simplicityissota.substack.com