Developers using incremental collaboration strategies succeeded on 83% of issues, while one-shot approaches only achieved 38% success rates.| rdel.substack.com
AI adoption now improves throughput and authentic pride, but delivery instability persists and friction remains unchanged.| Research-Driven Engineering Leadership
Developers using incremental collaboration strategies succeeded on 83% of issues, while one-shot approaches only achieved 38% success rates.| rdel.substack.com
Meta’s study found reviewers slowed down by 6.7% when verifying AI fixes, while authors gained speed without extra burden| rdel.substack.com
Even the best-performing LLM only warns about security issues 40% of the time, creating false confidence in code safety.| Research-Driven Engineering Leadership
Meta’s study found reviewers slowed down by 6.7% when verifying AI fixes, while authors gained speed without extra burden| rdel.substack.com
Developers who view AI as "collaborators" adopt tools successfully, while "feature" users are more likely to abandon them.| Research-Driven Engineering Leadership
Research shows popular AI tools skip over top candidates in favor of stereotypical profiles| Research-Driven Engineering Leadership
Teams shown collective metrics solved more tasks and maintained stronger cohesion under pressure| rdel.substack.com
A look into the SPACE framework, and how to put this framework into action in engineering orgs.| rdel.substack.com
84% of developers use AI, but 46% report distrust. Autonomy and satisfaction remain the biggest drivers of productivity.| Research-Driven Engineering Leadership
Developers report higher speed, efficiency, and satisfaction with AI—yet less than half see improvements in collaboration.| rdel.substack.com
Research shows that strong relationships and psychological safety fuel learning and performance in large-scale agile teams| Research-Driven Engineering Leadership
Researchers show that intrinsic drivers like pride and integrity shift in peer review—but disappear when feedback comes from an AI.| Research-Driven Engineering Leadership
Teams had over 20 attributes for code improvement prioritization criteria, with diverse origins for code improvement efforts. Reengineering efforts led to statistically significant improvements.| rdel.substack.com
O'Reilly and LeadDev surveyed 1,000 engineering leaders to understand the top challenges and opportunities in software team performance.| rdel.substack.com
This week we study whether and how goal setting can improve the focus, productivity, and well-being of software engineers.| rdel.substack.com
This week, we dive into the top challenges and best practices of OKRs in software organizations. We also discuss strategies to more effectively use OKRs on teams.| rdel.substack.com
A look back at our favorite editions, and the key strategies we've seen for applying research to build stronger engineering cultures.| Research-Driven Engineering Leadership
Findings from the 2025 LeadDev Engineering Leadership Report show that leadership practices are evolving even as early productivity gains are modest.| rdel.substack.com
Three internal case studies at Meta reveal how DAT captured meaningful changes in developer efficiency through improvement in tools, UIs, and shared components.| Research-Driven Engineering Leadership
Extraverts prefer task-focused interactions, while introverts gain from relational supervisor connections.| rdel.substack.com
Experience level shapes the most likely contributors to refactoring, and may also influence quality of documentation.| Research-Driven Engineering Leadership
Distributed teams that pair efficient meetings with clear Slack norms reduce ambiguity, lower message volume, and align faster.| Research-Driven Engineering Leadership
Reviewers build three internal models to decide what to read, question, or approve.| rdel.substack.com
Task vagueness, stress, and complexity drive delays. Procrastination can hurt team trust, but also boosted creativity.| Research-Driven Engineering Leadership
GenAI incidents are detected later, mitigated more slowly, and rooted in deep infrastructure complexity.| rdel.substack.com
In the 3rd edition of our monthly review on the DORA report, we look at how user-centricity impacts team performance, and how this applies to the many different types of engineering teams.| rdel.substack.com
This week, we look at the DORA report's findings on how documentation improves team outcomes, as well as the cost it can incur for underrepresented teammates.| rdel.substack.com
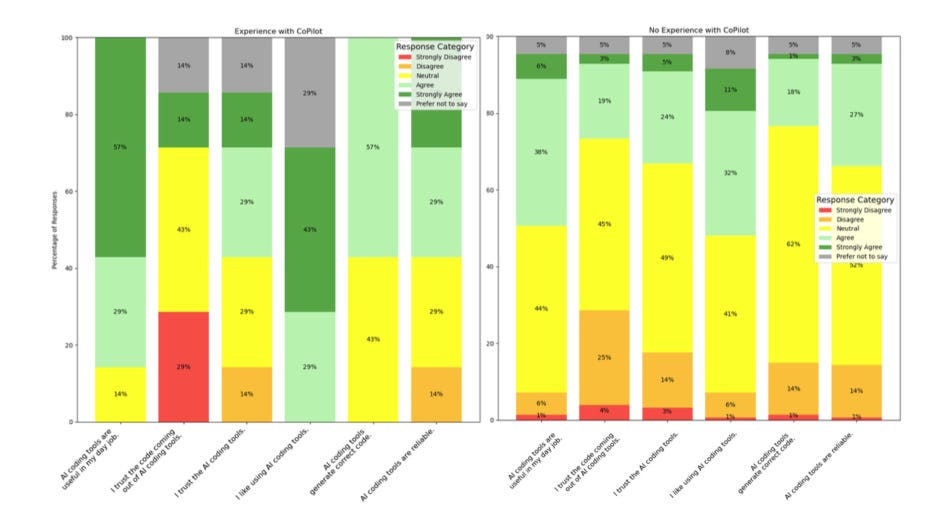
A real-world trial of GitHub Copilot finds meaningful improvements in satisfaction and workflow, with no significant gains in output and trust.| rdel.substack.com
Generative AI boosts productivity and satisfaction—but only if teams build trust, clarity, and strong delivery practices.| rdel.substack.com
What metrics a team should pick, how often they should change, and how to turn metrics into actions (and measure improvement).| rdel.substack.com
A look at four drivers that can indicate performance on engineering teams.| rdel.substack.com
This week, in our final review of the 2024 DORA report, we analyzes changes to the four key metrics made famous by the DORA group.| rdel.substack.com
This week we review the DORA reports findings on user-centricity, and dig into the reasons why higher user-centricity leads to better product performance.| rdel.substack.com
In the first of our three-part review of the 2024 DORA report, we'll look at the (good and bad) ways that AI has impacted the performance of engineering teams this year.| rdel.substack.com
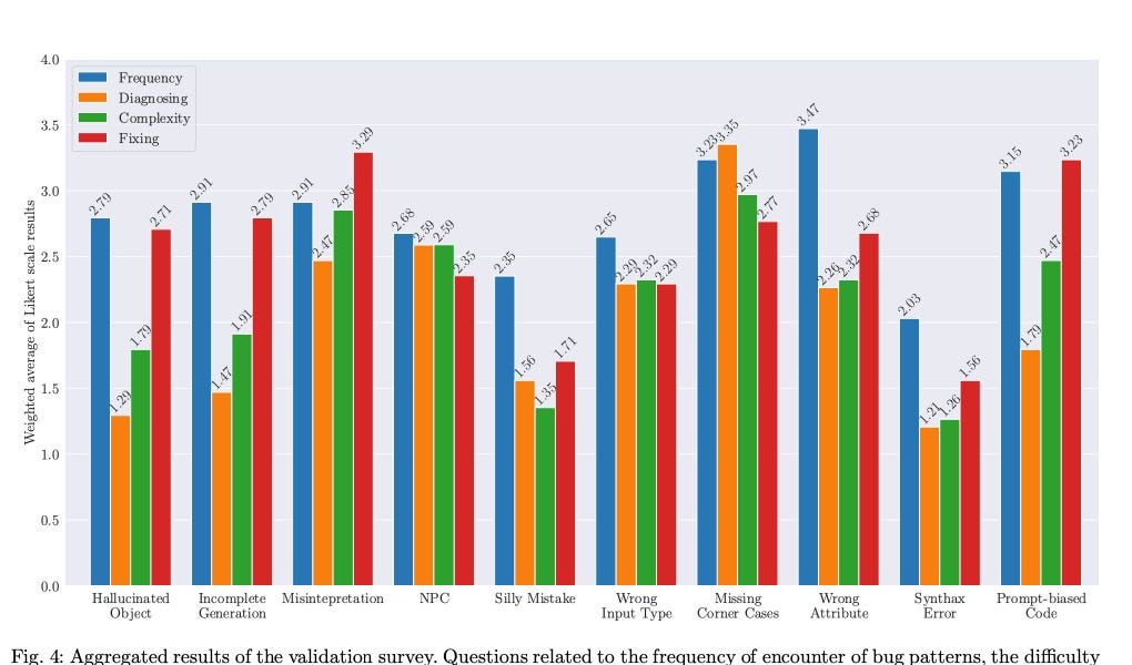
This week, we discover the different types of bugs that LLM-generated code can provide, and how to mitigate their potential impact.| rdel.substack.com