Aka, a 5-step process to maximise AI's value while actively managing its risks| Dr Phil's Newsletter, Powered by DOMS™️ AI
Six key takeaways, including what the research tells us about how well AI performs as an instructional designer| drphilippahardman.substack.com
A new L&D operating system for the AI Era?| Dr Phil's Newsletter, Powered by DOMS™️ AI
What a new HBR study tells about the changing nature of workplace L&D| Dr Phil's Newsletter, Powered by DOMS™️ AI
New research shows that millions of us are "learning with AI" every week: what does this mean for how (and how well) humans learn?| drphilippahardman.substack.com
New peer-reviewed research shows when AI enhances our work —and when it falls short| drphilippahardman.substack.com
Researchers offer a new model of Instructional Design for the age of AI| Dr Phil's Newsletter, Powered by DOMS™️ AI
Aka, the hidden source-doc crisis in L&D and what to do about it| Dr Phil's Newsletter, Powered by DOMS™️ AI
10 Hacks to Work Smarter & Safer with OpenAI's Latest Model| drphilippahardman.substack.com
What 3 recent job ads reveal about the changing nature of Instructional Design| Dr Phil's Newsletter, Powered by DOMS™️ AI
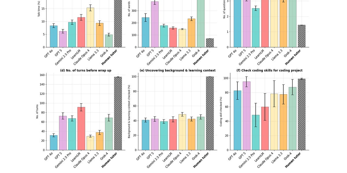
What are the risks & benefits of delegating SME interviews to an AI assistant?| drphilippahardman.substack.com
The reality of AI, job degradation & the likely future of Instructional Design| drphilippahardman.substack.com
A data-informed field guide to select the right LLM for the right task| Dr Phil's Newsletter, Powered by DOMS™️ AI
How to script effective AI tutors with the PERSONA framework—and the ethical questions we can't ignore| drphilippahardman.substack.com
Aka, how to use (and how not to use) AI in your day to day work| Dr Phil's Newsletter, Powered by DOMS™️ AI
Hi Folks!| drphilippahardman.substack.com
What AI usage among learners in 2025 tell us about the current & future state of instructional design| Dr Phil's Newsletter, Powered by DOMS™️ AI
Hey folks 👋,| drphilippahardman.substack.com
How (and why) to turn your design idea into a working prototype in minutes| Dr Phil's Newsletter, Powered by DOMS™️ AI
A special edition practical guide to selecting & building AI agents for instructional design and L&D| Dr Phil's Newsletter, Powered by DOMS™️ AI
How agentic AI is forcing us to reimagine online learning -- for the better| drphilippahardman.substack.com
My hot takes from a global survey I ran with Synthesia| drphilippahardman.substack.com
A crowdsourced experiment| drphilippahardman.substack.com